Publications Archive


Control of seizure-like dynamics in neuronal populations with excitability adaptation related to ketogenic diet

Ketogenic diet and seizure control
Abstract

We consider a heterogeneous, globally coupled population of excitatory quadratic integrate-and-fire neurons with excitability adaptation due to a metabolic feedback associated with ketogenic diet, a form of therapy for epilepsy. Bifurcation analysis of a three-dimensional mean-field system derived in the framework of next-generation neural mass models allows us to explain the scenarios and suggest control strategies for the transitions between the neurophysiologically desired asynchronous states and the synchronous, seizure-like states featuring collective oscillations. We reveal two qualitatively different scenarios for the onset of synchrony. For weaker couplings, a bistability region between the lower- and the higher-activity asynchronous states unfolds from the cusp point, and the collective oscillations emerge via a supercritical Hopf bifurcation. For stronger couplings, one finds seven co-dimension two bifurcation points, including pairs of Bogdanov–Takens and generalized Hopf points, such that both lower- and higher-activity asynchronous states undergo transitions to collective oscillations, with hysteresis and jump-like behavior observed in vicinity of subcritical Hopf bifurcations. We demonstrate three control mechanisms for switching between asynchronous and synchronous states, involving parametric perturbation of the adenosine triphosphate (ATP) production rate, external stimulation currents, or pulse-like ATP shocks, and indicate a potential therapeutic advantage of hysteretic scenarios.

Citation: Eydam, S., Franović, I., & Kang, L. (2024). Control of seizure-like dynamics in neuronal populations with excitability adaptation related to ketogenic diet. Chaos: An Interdisciplinary Journal of Nonlinear Science, 34(5), 053128. https://doi.org/10.1063/5.0180954


Collective Activity Bursting in a Population of Excitable Units Adaptively Coupled to a Pool of Resources

Collective activity bursting
Abstract

We study the collective dynamics in a population of excitable units (neurons) adaptively interacting with a pool of resources. The resource pool is influenced by the average activity of the population, whereas the feedback from the resources to the population is comprised of components acting homogeneously or inhomogeneously on individual units of the population. Moreover, the resource pool dynamics is assumed to be slow and has an oscillatory degree of freedom. We show that the feedback loop between the population and the resources can give rise to collective activity bursting in the population. To explain the mechanisms behind this emergent phenomenon, we combine the Ott-Antonsen reduction for the collective dynamics of the population and singular perturbation theory to obtain a reduced system describing the interaction between the population mean field and the resources.

Citation: Franović, I., Eydam, S., Yanchuk, S., & Berner, R. (2022). Collective Activity Bursting in a Population of Excitable Units Adaptively Coupled to a Pool of Resources. Frontiers in Network Physiology, Volume 2 - 2022. https://doi.org/10.3389/fnetp.2022.841829


Patched patterns and emergence of chaotic interfaces in arrays of nonlocally coupled excitable systems

Patched patterns
Abstract

We disclose a new class of patterns, called patched patterns, in arrays of non-locally coupled excitable units with attractive and repulsive interactions. The self-organization process involves the formation of two types of patches, majority and minority ones, characterized by uniform average spiking frequencies. Patched patterns may be temporally periodic, quasiperiodic, or chaotic, whereby chaotic patterns may further develop interfaces comprised of units with average frequencies in between those of majority and minority patches. Using chaos and bifurcation theory, we demonstrate that chaos typically emerges via a torus breakup and identify the secondary bifurcation that gives rise to chaotic interfaces. It is shown that the maximal Lyapunov exponent of chaotic patched patterns does not decay, but rather converges to a finite value with system size. Patched patterns with a smaller wavenumber may exhibit diffusive motion of chaotic interfaces, similar to that of the incoherent part of chimeras.

Citation: Franović, I., & Eydam, S. (2022). Patched patterns and emergence of chaotic interfaces in arrays of nonlocally coupled excitable systems. Chaos: An Interdisciplinary Journal of Nonlinear Science, 32(9), 091102. https://doi.org/10.1063/5.0111507


Unbalanced clustering and solitary states in coupled excitable systems

Solitary states
Abstract

We discover the mechanisms of emergence and the link between two types of symmetry-broken states, the unbalanced periodic two-cluster states and solitary states, in coupled excitable systems with attractive and repulsive interactions. The prevalent solitary states in non-locally coupled arrays, whose self-organization is based on successive (order preserving) spiking of units, derive their dynamical features from the corresponding unbalanced cluster states in globally coupled networks. Apart from the states with successive spiking, we also find cluster and solitary states where the interplay of excitability and local multiscale dynamics gives rise to so-called leap-frog activity patterns with an alternating order of spiking between the units. We show that the noise affects the system dynamics by suppressing the multistability of cluster states and by inducing pattern homogenization, transforming solitary states into patterns of patched synchrony.

Citation: Franović, I., Eydam, S., Semenova, N., & Zakharova, A. (2022). Unbalanced clustering and solitary states in coupled excitable systems. Chaos: An Interdisciplinary Journal of Nonlinear Science, 32(1), 011104. https://doi.org/10.1063/5.0077022


Dynamics of a stochastic excitable system with slowly adapting feedback

Stochastic excitable system
Abstract

We study an excitable active rotator with slowly adapting nonlinear feedback and noise. Depending on the adaptation and the noise level, this system may display noise-induced spiking, noise-perturbed oscillations, or stochastic bursting. We show how the system exhibits transitions between these dynamical regimes, as well as how one can enhance or suppress the coherence resonance or effectively control the features of the stochastic bursting. The setup can be considered a paradigmatic model for a neuron with a slow recovery variable or, more generally, as an excitable system under the influence of a nonlinear control mechanism. We employ a multiple timescale approach that combines the classical adiabatic elimination with averaging of rapid oscillations and stochastic averaging of noise-induced fluctuations by a corresponding stationary Fokker–Planck equation. This allows us to perform a numerical bifurcation analysis of a reduced slow system and to determine the parameter regions associated with different types of dynamics. In particular, we demonstrate the existence of a region of bistability, where the noise-induced switching between a stationary and an oscillatory regime gives rise to stochastic bursting.

Citation: Franović, I., Yanchuk, S., Eydam, S., Bačić, I., & Wolfrum, M. (2020). Dynamics of a stochastic excitable system with slowly adapting feedback. Chaos: An Interdisciplinary Journal of Nonlinear Science, 30(8), 083109. https://doi.org/10.1063/1.5145176


Unbalanced clustering and solitary states in coupled excitable systems

Solitary states
Abstract

We discover the mechanisms of emergence and the link between two types of symmetry-broken states, the unbalanced periodic two-cluster states and solitary states, in coupled excitable systems with attractive and repulsive interactions. The prevalent solitary states in non-locally coupled arrays, whose self-organization is based on successive (order preserving) spiking of units, derive their dynamical features from the corresponding unbalanced cluster states in globally coupled networks. Apart from the states with successive spiking, we also find cluster and solitary states where the interplay of excitability and local multiscale dynamics gives rise to so-called leap-frog activity patterns with an alternating order of spiking between the units. We show that the noise affects the system dynamics by suppressing the multistability of cluster states and by inducing pattern homogenization, transforming solitary states into patterns of patched synchrony.

Citation: Franović, I., Eydam, S., Semenova, N., & Zakharova, A. (2022). Unbalanced clustering and solitary states in coupled excitable systems. Chaos: An Interdisciplinary Journal of Nonlinear Science, 32(1), 011104. https://doi.org/10.1063/5.0077022


Leap-frog patterns in systems of two coupled FitzHugh-Nagumo units

Leap-frog patterns
Abstract

We study a system of two identical FitzHugh-Nagumo units with a mutual linear coupling in the fast variables. While an attractive coupling always leads to synchronous behavior, a repulsive coupling can give rise to dynamical regimes with alternating spiking order, called leap-frogging. We analyze various types of periodic and chaotic leap-frogging regimes, using numerical path-following methods to investigate their emergence and stability, as well as to obtain the complex bifurcation scenario which organizes their appearance in parameter space. In particular, we show that the stability region of the simplest periodic leap-frog pattern has the shape of a locking cone pointing to the canard transition of the uncoupled system. We also discuss the role of the timescale separation in the coupled FitzHugh-Nagumo system and the relation of the leap-frog solutions to the theory of mixed-mode oscillations in multiple timescale systems.

Citation: Eydam, S., Franović, I., & Wolfrum, M. (2019). Leap-frog patterns in systems of two coupled FitzHugh-Nagumo units. Physical Review E, 99(4), 042207. https://doi.org/10.1103/PhysRevE.99.042207


The link between coherence echoes and mode locking

Coherence echoes
Abstract

We investigate the appearance of sharp pulses in the mean field of Kuramoto-type globally-coupled phase oscillator systems. In systems with exactly equidistant natural frequencies, self-organized periodic pulsations of the mean field, called mode locking, have been described recently as a new collective dynamics below the synchronization threshold. We show here that mode locking can appear also for frequency combs with modes of finite width, where the natural frequencies are randomly chosen from equidistant frequency intervals. In contrast to that, so-called coherence echoes, which manifest themselves also as pulses in the mean field, have been found in systems with completely disordered natural frequencies as a result of two consecutive stimulations applied to the system. We show that such echo pulses can be explained by a stimulation induced mode locking of a subpopulation representing a frequency comb. Moreover, we find that the presence of a second harmonic in the interaction function, which can lead to the global stability of the mode-locking regime for equidistant natural frequencies, can enhance the echo phenomenon significantly. The nonmonotonic behavior of echo amplitudes can be explained as a result of the linear dispersion within the self-organized mode-locked frequency comb. Finally, we investigate the effect of small periodic stimulations on oscillator systems with disordered natural frequencies and show how the global coupling can support the stimulated pulsation by increasing the width of locking plateaus.

Citation: Eydam, S., & Wolfrum, M. (2019). The link between coherence echoes and mode locking. Chaos: An Interdisciplinary Journal of Nonlinear Science, 29(10), 103114. https://doi.org/10.1063/1.5114699


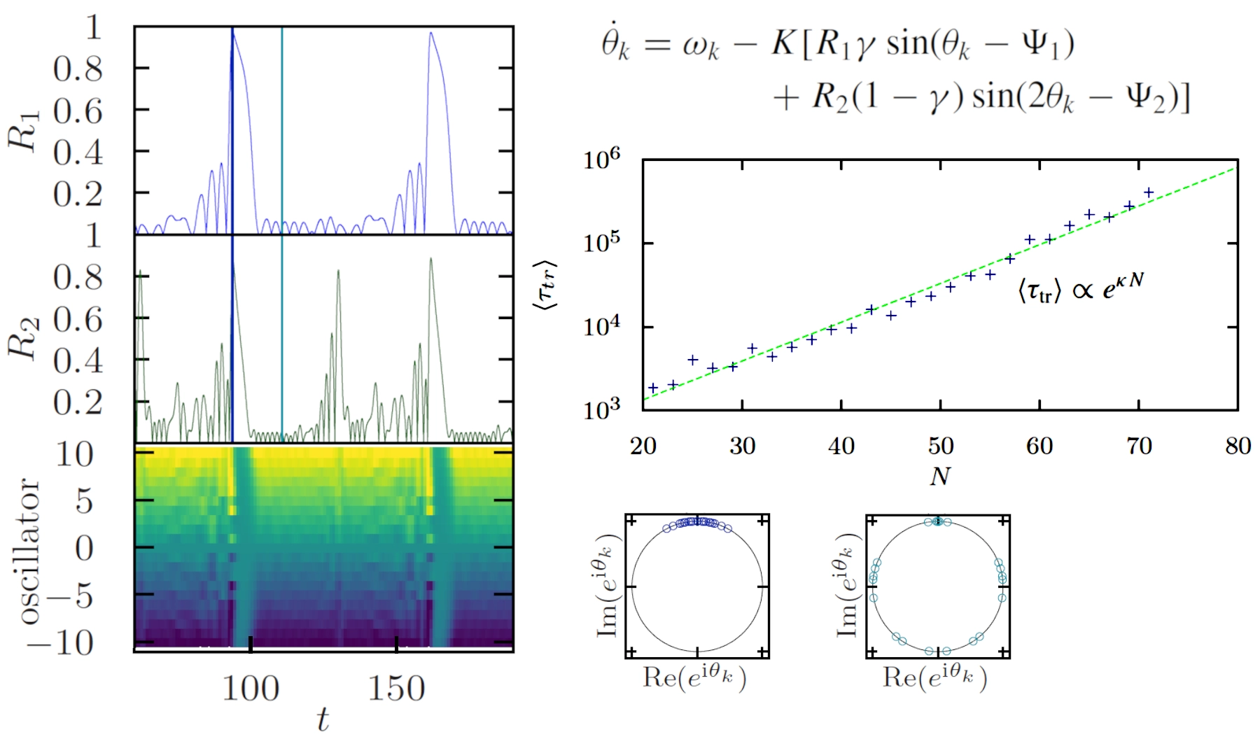
Mode locking in systems of globally coupled phase oscillators

Mode locking
Abstract

We investigate the dynamics of a Kuramoto-type system of globally coupled phase oscillators with equidistant natural frequencies and a coupling strength below the synchronization threshold. It turns out that in such cases one can observe a stable regime of sharp pulses in the mean field amplitude with a pulsation frequency given by spacing of the natural frequencies. This resembles a process known as mode locking in lasers and relies on the emergence of a phase relation induced by the nonlinear coupling. We discuss the role of the first and second harmonics in the phase-interaction function for the stability of the pulsations and present various bifurcating dynamical regimes such as periodically and chaotically modulated mode locking, transitions to phase turbulence, and intermittency. Moreover, we study the role of the system size and show that in certain cases one can observe type II supertransients, where the system reaches the globally stable mode-locking solution only after an exponentially long transient of phase turbulence.

Citation: Eydam, S., & Wolfrum, M. (2017). Mode locking in systems of globally coupled phase oscillators. Physical Review E, 96(5), 052205. https://doi.org/10.1103/PhysRevE.96.052205


← Back to Home